20+ Phase Diagram For Hydrogen


Review Of Phase Transformations In Energetic Materials As A Function Of Pressure And Temperature The Journal Of Physical Chemistry C


Kevin Patrick Mahaffey On X Metallic Hydrogen Phase Diagram Interesting Things Ahead Https T Co Q8ehmqs7va X


File Phase Diagram Of Hydrogen Ru Svg Wikimedia Commons


In Vitro Antioxidant Activity And Hptlc Determination Of N Hexane Extract Of Emilia Sonchifolia L Dc


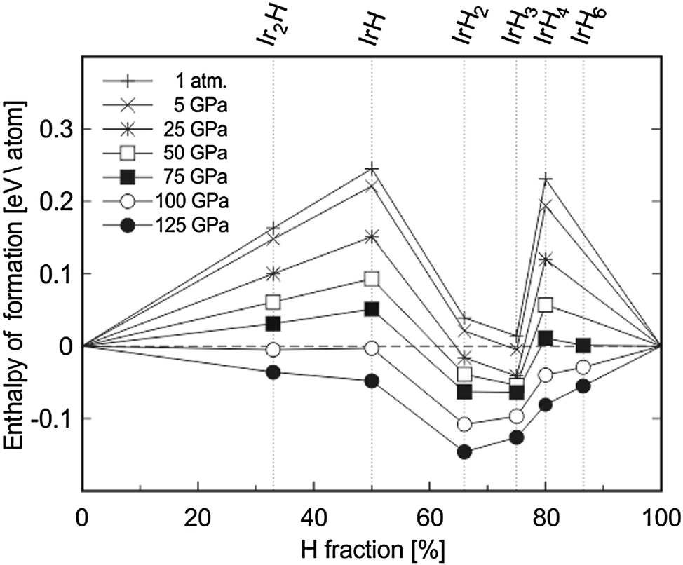
High Pressure Formation And Stabilization Of Binary Iridium Hydrides Physical Chemistry Chemical Physics Rsc Publishing Doi 10 1039 C3cp54300e


Hydrogen Wikipedia


Understanding High Pressure Molecular Hydrogen With A Hierarchical Machine Learned Potential Nature Communications


A Model For Cost And Greenhouse Gas Optimal Material And Energy Allocation Of Biomass And Hydrogen Softwarex


File Phase Diagram Of Hydrogen Ru Svg Wikimedia Commons


Horiba Scientific Partners With Covalent Metrology To Offer Glow Discharge Optical Emission Spectroscopy Demo Lab Horiba


Global Thiol Proteome Analysis A Novel Insights Into The Macrophage Inflammatory Response And Its Regulation Redox Medicine Society


Phase Diagram Of Dense Hydrogen For The Plasma Phase Transition Download Scientific Diagram


Hungarian Gas Storage S Aquamarine Project To Play An Active Role In The Decarbonisation Process Ceenergynews


Egsseas7bcnh7m


Phase Diagram Of Hydrogen Regions Of Stability For The Molecular Solid Download Scientific Diagram


How It S Produced Atura Power


Gaugehow Mechanical Engineering Courses Gaugehow Instagram Photos And Videos


Phase Diagram Of Dense Hydrogen Theoretical Melting Points The Download Scientific Diagram

Iklan Atas Artikel

Iklan Tengah Artikel 1

Iklan Tengah Artikel 2

Iklan Bawah Artikel